商 業 資 料 通 告
二 十 四 小 時 查 詢 熱 線 : 23 922 922
執 事 先 生 :
商 業 資 料 通 告 第 37/00 號
中 國 內 地 : 對 來 自 美 國 及 日 本 貨 物 木 質
包 裝 的 緊 急 檢 疫 措 施
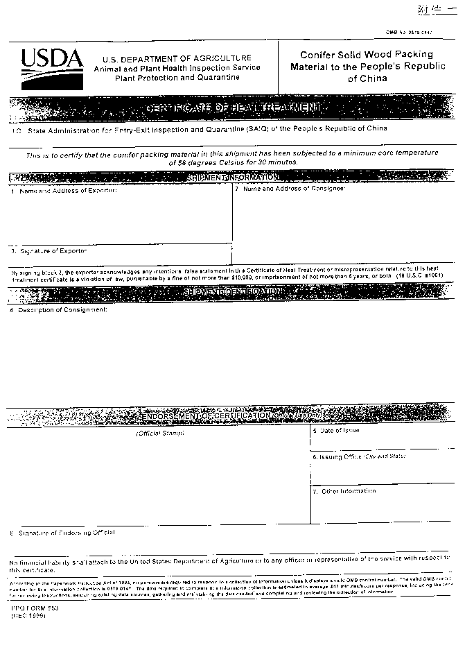
國 家 出 入 境 檢 驗 檢 疫 局 、 海 關 總 署 及 對 外 貿 易 經 濟 合 作 部 於 2000 年 1 月 1 日 起 , 對 來 自 美 國 及 日 本 貨 物 的 木 質 包 裝 實 施 緊 急 檢 疫 措 施 ( 詳 見 本 署 去 年 11 月 15 日 發 出 的 商 業 資 料 通 告 第 179/99 號 及 12 月 18 日 發 出 的 商 業 資 料 通 告 第 197/99 號 ) 。 現 附 上 有 關 措 施 要 求 提 交 文 件 的 樣 本 , 以 供 參 考 , 包 括 :
美 國 官 方 檢 疫 部 門 出 具 的 植 物 檢 疫 證 書 ( 附 件 一 ) ﹔
日 本 官 方 檢 疫 部 門 出 具 的 植 物 檢 疫 證 書 ( 附 件 二 ) ﹔ 及
對 於 使 用 非 針 葉 樹 木 製 作 的 木 質 包 裝 或 無 木 質 包 裝 的 貨 物 , 出 口 商 須 出 具 的 聲 明 ( 附 件 三 ) 。
查 詢
2.如 對 本 通 告 所 述 事 項 有 任 何 疑 問 , 請 致 電 2398 5444 與 陳 兆 雯 女 士 查 詢 。
貿 易 署 署 長
( 馬 明 亮 代 行 )
2000 年 3 月 15 日
註 : 上 述 資 料 已 經 力 求 準 確 , 惟 本 署 不 能 作 出 任 何 保 證 , 亦 不 會 對 信 賴 此 等 資 料 的 人 士 負 任 何 責 任 。






